원리금균등상환 방식은 원금과 이자를 합한 금액이 매달 같도록 이자를 갚아나가는 방식입니다.
초기에는 아무래도 이자 비율이 높을 것이고, 갚아야할 잔금이 줄어나감에 따라 이자가 줄어들테니 갚는 원금도 증가하게 됩니다.
이 방식의 장점은 매달 같은 금액을 상환하기 때문에 매달 같은 부담이 든다는 것이고, 단점은 갚아야할 이자가 많다는 것이죠.
이전에 설명드린 원금균등상환 방법과 비슷하기 때문에 바로 설명드리겠습니다.

회차는 이번에 갚아나가야 하는 회차를 말하고, (이전 회차 + 1)을 해주면 됩니다.
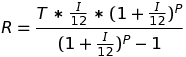
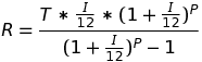
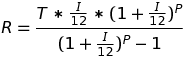
다음으로는 이 방식에서 가장 중요한 상환금을 보겠습니다.
매월 같은 금액을 상환해야하므로 이 것이 매달 같도록 해줘야 합니다.

공식만 보면 어렵게 느껴지죠? 뭐 그냥 따라하시면 됩니다. ㅎㅎㅎ
R은 상환금, T는 대출금, I는 대출 이율 즉, 12로 나누었으니 월 이율이 되는거죠. P는 대출 기간입니다.

이 공식을 엑셀에 넣어주면 요렇게 됩니다.
이자는 뭐 쉽죠? (잔금 * 월 이율) 하면 되니까요.

원금은 (상환금 - 이자) 하면 되고요.

총 원금은 현재 회차까지 갚은 총 원금 액수이고요.

총 이자는 현재 회차까지 낸 총 이자 액수입니다.

잔금은 빌린 돈에서 현재까지 갚은 금액을 빼면 되겠죠?

이제 1회차를 모두 선택해주고, 이전에 설명했듯이 쭈~욱 잡아내리면 바로 자동으로 계산이 됩니다.
2020/12/01 - [Excel] - [Excel] 대출이자 계산 - 원금균등상환

엑셀의 마법~!!
잘 비교하셔서 상환 계획을 세워보시길 바래요. :)
'Excel' 카테고리의 다른 글
| [Excel] 팁: SUM 함수 단축키로 간단하게 사용하기 (0) | 2021.01.14 |
|---|---|
| [Excel] Group/Ungroup 기능 (2) | 2021.01.12 |
| [Excel] 대출이자 계산 - 원금균등상환 (1) | 2020.12.01 |
| [Excel] 대출이자 계산 - 만기일시상환 (0) | 2020.12.01 |
| [Excel] AND Function (0) | 2020.11.10 |
댓글